Changing stroke rehab and research worldwide now.Time is Brain! trillions and trillions of neurons that DIE each day because there are NO effective hyperacute therapies besides tPA(only 12% effective). I have 523 posts on hyperacute therapy, enough for researchers to spend decades proving them out. These are my personal ideas and blog on stroke rehabilitation and stroke research. Do not attempt any of these without checking with your medical provider. Unless you join me in agitating, when you need these therapies they won't be there.

What this blog is for:

My blog is not to help survivors recover, it is to have the 10 million yearly stroke survivors light fires underneath their doctors, stroke hospitals and stroke researchers to get stroke solved. 100% recovery. The stroke medical world is completely failing at that goal, they don't even have it as a goal. Shortly after getting out of the hospital and getting NO information on the process or protocols of stroke rehabilitation and recovery I started searching on the internet and found that no other survivor received useful information. This is an attempt to cover all stroke rehabilitation information that should be readily available to survivors so they can talk with informed knowledge to their medical staff. It lays out what needs to be done to get stroke survivors closer to 100% recovery. It's quite disgusting that this information is not available from every stroke association and doctors group.

Monday, October 28, 2019

Musical action observation

Every single stroke hospital should have videos of musicians playing their instruments. If your stroke hospital doesn't have this or know about it they are completely incompetent.

Two reasons:

  1. Music in all forms is good stroke rehab.

music(86 posts)

music therapy (52 posts)

musical training (13 posts) 

2.  Action observation is proven rehab.

action observation (96 posts back to May 2011 )

Tonight I watched this live, but since there is NO place to get action observation video I can't focus on individual fingers like I should be able to.  Someday I'll be able to play my sax again, probably never like this but there is always hope.

 

Proportional Recovery in the Spotlight

Fuck proportional recovery and the failure it represents. Have you EVER talked to any stroke survivor that accepted proportional recovery without them being brain-washed into accepting your tyranny of low expectations? I would fire you on the spot for this crapola.  100% RECOVERY IS THE ONLY GOAL IN STROKE.

Proportional Recovery in the Spotlight

First Published October 21, 2019 Editorial
Prediction of who will recover after stroke has been a perennial focus for both researchers and clinicians in the field of neurorehabilitation. The prospects of applying a population-based model to predict outcome in individual patients might ultimately allow more focused approaches to stroke rehabilitation and foster a better distribution of precious health care resources. Aside from anatomical biomarkers, such as the integrity of the corticospinal tract, recent attention has focused on the proportional recovery rule, formally proposed in this journal more than 10 years ago by Prabhakaran et al,1 who described a surprisingly linear relationship between Fugl-Meyer Assessment upper extremity scores obtained within 3 days after stroke and those obtained at 3 months poststroke, illustrating the general principle of spontaneous recovery with a level of predictability not previously appreciated.(The fact that you accept this relationship as normal and expected is what is so fucking bad about this. You expect the status quo to stay the same. For that reason alone you need to be fired.) This relationship appears to hold for most individuals (so-called “fitters” or “recoverers”), but a subset of individuals (so-called “non-fitters” or “non-recoverers”) fall off the linear regression line. First applied to upper limb motor impairment, the proportional recovery rule has been examined in a variety of motor and nonmotor impairments, and results have generally been in agreement with the initial linear relationship. Recent controversy surrounding the proportional recovery rule has been based on statistical factors such as mathematical coupling and nonlinearity of outcome scales, questioning not only the accuracy but also the underlying validity of this predictive population-based model. Two articles in the current issue of Neurorehabilitation and Neural Repair highlight some of the emerging views and suggestions for future research regarding this model. The first article by Senesh and Reinkensmeyer examines the reasons why “non-fitters” do not recover according to the proportional recovery algorithm. They argue that the local slope of the linear regression reflects the difficulty of test item scores related to arm and hand movement at follow-up, consistent with the view that non-fitters lack sufficient corticospinal tract. They suggest that at least some non-fitters may have a heightened response to intensive movement training and should be targeted early after stroke for such rehabilitative training. In the second article by Kundert et al, the statistical validity of the proportional recovery rule is examined in the context of recent criticisms regarding its underlying assumptions. Despite 2 recent articles critical of statistical relationships of baseline impairment scores to follow-up scores, especially when used for patient-level predictions, Kundert et al contend that the systematic non-artifactual relationship between initial impairment and motor recovery provides a valid statistical and biologically meaningful model, and that future studies of proportional recovery should use more sophisticated analysis techniques and rigorous methods to assess validity, including comparisons to alternative models.
Randolph J. Nudo, PhD
Editor-in-Chief
1. Prabhakaran, S, Zarahn, E, Riley, C, et al. Inter-individual variability in the capacity for motor recovery after ischemic stroke. Neurorehabil Neural Repair. 2008;22:64-71. doi:10.1177/1545968307305302
Google Scholar | SAGE Journals | ISI

“Where does this bus go?” - 100% recovery is the only destination

If your stroke medical professionals are not on the bus to 100% recovery, shove them off the bus.  THE ONLY GOAL IN STROKE IS 100% RECOVERY, anyone not ok with that needs to get out of stroke.  

More fantastic stuff from Seth Godin.

“Where does this bus go?” 

One approach, which is tempting in the short run, is to wait until people are on the bus and then ask each person where they want to go. Seek to build consensus. Try not to leave anyone out.
The other approach, which works far better if you have a fleet of available buses, is to announce in advance where the bus is going. That way, anyone who wants to go where you’re headed can get onboard.
Enrollment is critical. Enrollment allows leaders to lead. Not by endlessly querying those that they seek to serve, but by announcing their destination and then heading there, with all deliberate speed

If you are happy and you know it… you may live longer

So have you refuted this from Feb. 2013?

Pessimists May Live Longer

 Ask your doctor how you can be an optimist when s/he has nothing to get you to 100% recovery. And using the tyranny of low expectations is not valid. Survivors do not set small goals, they want 100% recovery. 

WHAT THE FUCK IS YOUR DOCTOR DOING TO GET YOU THERE?

 

If you are happy and you know it… you may live longer



Plenty of research suggests optimistic people have a reduced risk of heart disease, stroke, and declines in lung capacity and function. Optimism is also associated with a lower risk of early death from cancer and infection. And now a new study links optimism to living a longer life.

What does this new research on optimism tell us?

The study in Proceedings of the National Academy of Sciences found that people who had higher levels of optimism had a longer life span. They also had a greater chance of living past age 85. The researchers analyzed data gleaned from two large population studies: about 70,000 women from the Nurses’ Health Study and about 1,400 men from the Veterans Affairs Normative Aging Study.
The Nurses’ Health Study used items from the Life Orientation Test to assess optimism. The measure asks respondents to rate their level of agreement to several statements about optimism. The Normative Aging Study relied on the Optimism-Pessimism Scale, administered as part of a personality assessment. This scale examines the positive and negative explanations people give for events in their life.
For both men and women, higher levels of optimism were associated with a longer life span and “exceptional longevity,” which the researchers defined as surviving to 85. The study controlled for factors like chronic physical conditions (such as hypertension or high cholesterol) and health behaviors (such as smoking or alcohol use).
There were several limitations to the study results. For example, participants were largely white and had higher socioeconomic status than the general population. These factors may limit whether the findings apply to a wide range of people.
So why might optimism affect longevity? The study wasn’t designed to explain this, but the researchers had several thoughts. While one component of optimism appears to be heritable — that is, tied to our genes — our environment and learning also shape a significant portion. One takeaway is that we can all learn ways to be more optimistic.

How can you become more optimistic?

Whether you’re naturally optimistic or not, you can take certain steps in that direction.
  • Reframe situations. When some people confront difficulties, they tend to only view the negative aspects of the situation. Also, they consider these aspects unchangeable. To reframe a difficult situation, search for any positive aspects or silver linings. Is there anything you can learn from the situation? Is there anything you can teach to others about the situation, after you resolve it?
  • Set goals. Set achievable goals for each day and adjust those goals as needed. Be specific and realistic. For example, rather than a broad goal, such as “clean house,” identify specific areas that you plan on cleaning (wipe down counters, scrub kitchen sink). Research suggests that setting goals and having the confidence to achieve these goals is related to optimism.
  • Set aside time to focus on the positive. At a set time each day (perhaps at bedtime), think about the positive aspects of your day. What went well? What are you happy about? What are you proud of?
  • Practice gratitude meditations. Gratitude meditations focus on giving thanks for the positive aspects of your life, which can include family members, friends, or possessions, among other things. You can find numerous scripts and guided meditations available online.
  • Strengthen social relationships. The researchers noted that optimism is related to strong social networks. A strong social network can include spending time with close friends, or participating in regularly scheduled group or community activities. Joining new groups or scheduling time to see friends and family and engage in activities strengthens these relationships. Focus on spending time with positive and supportive people.
  • Practice the half-smile. A psychotherapy technique to cope with sad feelings is to practice smiling for a few minutes each day. If a full smile is not possible, a half-smile works as well. Notice any impact on your thoughts, mood, and level of optimism.


Saturday, October 26, 2019

Assessment of longitudinal hippocampal atrophy in the first year after ischemic stroke using automatic segmentation techniques

You have described a problem but offered NO SOLUTION. What the fuck was the research for? What exactly are you going to do when YOU are the 1 in 4 that the WHO predicts will have a stroke? 


Assessment of longitudinal hippocampal atrophy in the first year after ischemic stroke using automatic segmentation techniques


Under a Creative Commons license
open access


Highlights

First-year hippocampal atrophy in stroke is more accelerated ipsi-lesionally
Volume estimation is not impacted by hemisphere side, study group, or scan timepoint
Segmentation method-hippocampal size interaction determines volume estimation
FreeSurfer/Subfields and fsl/FIRST segmentations agreed best with manual tracing

Abstract

We assessed first-year hippocampal atrophy in stroke patients and healthy controls using manual and automated segmentations: AdaBoost, FIRST (fsl/v5.0.8), FreeSurfer/v5.3 and v6.0, and Subfields (in FreeSurfer/v6.0). We estimated hippocampal volumes in 39 healthy controls and 124 stroke participants at three months, and 38 controls and 113 stroke participants at one year. We used intra-class correlation, concordance, and reduced major axis regression to assess agreement between automated and ‘Manual’ estimations. A linear mixed-effect model was used to characterize hippocampal atrophy.
Overall, hippocampal volumes were reduced by 3.9% in first-ever stroke and 9.2% in recurrent stroke at three months post-stroke, with comparable ipsi-and contra-lesional reductions in first-ever stroke. Mean atrophy rates between time points were 0.5% for controls and 1.0% for stroke patients (0.6% contra-lesionally, 1.4% ipsi-lesionally). Atrophy rates in left and right-hemisphere strokes were comparable. All methods revealed significant volume change in first-ever and ipsi-lesional stroke (p < 0.001).
Hippocampal volume estimation was not impacted by hemisphere, study group, or scan time point, but rather, by the interaction between the automated segmentation method and hippocampal size. Compared to Manual, Subfields and FIRST recorded the lowest bias. FreeSurfer/v5.3 overestimated volumes the most for large hippocampi, while FIRST was the most accurate in estimating small volumes. AdaBoost performance was average.
Our findings suggest that first-year ipsi-lesional hippocampal atrophy rate especially in first-ever stroke, is greater than atrophy rates in healthy controls and contra-lesional stroke. Subfields and FIRST can complementarily be effective in characterizing the hippocampal atrophy in healthy and stroke cohorts.

Keywords

Hippocampal atrophy
FreeSurfer
Linear mixed-effect model
Magnetic resonance imaging
Stroke

1. Introduction

Stroke is a major global cause of disability and death (Strong, Mathers et al. 2007, Maier, Schroder et al. 2015, Aerts, Fias et al. 2016). People with stroke have a higher incidence of dementia (Makin, Turpin et al. 2013), and up to one-third of stroke survivors develop post-stroke dementia (PSD) in the years following the initial stroke incident (Mok, Lam et al. 2017). Understanding the trajectory of cognitive decline and associated brain changes over the first year after stroke is crucial for developing treatments to delay the onset of PSD and modify its course.
Magnetic resonance imaging (MRI) has been successfully used for the detection of structural changes in PSD (Mijajlović, Pavlović et al. 2017). Combined with neuropsychological testing, quantitative MRI methods show promise as important diagnostic tools (Ystad, Lundervold et al. 2009). In many quantitative MRI studies of diseased populations (Frodl, Schaub et al. 2006, M Meisenzahl, Seifert et al. 2009, Woon, Sood et al. 2010, Apfel, Ross et al. 2011), including subcortical ischemic vascular dementia (Fein, Di Sclafani et al. 2000), smaller hippocampal volumes have been reported. In major stroke survivors, hippocampal atrophy has been associated with cognitive decline (Gemmell, Bosomworth et al. 2012, Kliper, Bashat et al. 2013).
The segmentation of structures characterized by morphological complexity – like the hippocampi – is challenging. Despite serious efforts to automate hippocampal segmentation, this is still commonly performed by human experts (Maglietta, Amoroso et al. 2016). However, manual segmentation is restricted by time and is costly for large datasets, has lower reproducibility unless protocols are strictly adhered to, and its results may be influenced by rater bias (Colon-Perez, Triplett et al. 2016). The high reproducibility of automated methods reduces bias and facilitates the replication of findings between studies, in addition to allowing for faster processing. However, most longitudinal validation studies of automated segmentation have focused on healthy (Morey, Petty et al. 2009, Perlaki, Horvath et al. 2017) and Alzheimer's disease (AD) cohorts (Morra, Tu et al. 2010, Mulder, de Jong et al. 2014, Cover, van Schijndel et al. 2016, Maglietta, Amoroso et al. 2016, Cover, van Schijndel et al. 2018). Automated segmentation has not been validated for the characterization of hippocampal atrophy in stroke.
Assessing longitudinal brain atrophy in conditions with destructive brain lesions, such as stroke, can be particularly challenging given the dynamic structural alterations before and after the stroke. The timing and sample size of MRI datasets pose challenges to conclusions about structural atrophy. There is also the challenge posed by the inclusion of patients with recurrent (i.e., prior) stroke who may already have suffered significant regional brain atrophy including in the hippocampus. While we have looked at brain atrophy in the first three months post-onset (Brodtmann, Pardoe et al. 2012, Brodtmann, Pardoe et al. 2013, Li, Pardoe et al. 2015), relatively longer term trajectories of hippocampal volume changes have not been examined. Given that most functional recovery occurs in the first three months after stroke (Lee, Lim et al. 2015), the three-month time point may serve as a better baseline for assessing longitudinal brain atrophy.
Researchers have examined whole-brain (Seghier, Ramsden et al. 2014) and hippocampal (Schaapsmeerders, Tuladhar et al. 2015) atrophy in young and old patients many years after stroke. They reported lower volumes ipsi-lesionally in the whole-brain and in the hippocampus. However, the profile and rates of hippocampal atrophy over the first year remain largely unknown.
Previously (Khlif, Egorova et al. 2018), we assessed the agreement between a number of automated segmentation methods and manual tracing in estimating hippocampal volumes in healthy participants and stroke patients at three months post-stroke. The top performers (AdaBoost, FIRST, and Subfields) in that study, in addition to FreeSurfer/v5.3 and v6.0, were used in the current study. The latter two methods were included in order to validate the improvement in hippocampal volume estimation sought with the evolution of FreeSurfer algorithms. We expected the algorithms’ performance at 12 months to be consistent with their previous performance at three months. Moreover, we needed to evaluate their performance in assessing hippocampal atrophy between three and 12 months to better inform future studies. Accordingly, our aims were to:
1
Quantify hippocampal volume change in healthy and ischemic stroke participants in the period between three and 12 months after stroke (based on volumes estimated using manual and automated segmentation methods).
2
Quantify hippocampal volume change in left-hemisphere stroke compared to right-hemisphere stroke, in first-ever stroke compared to recurrent stroke, and in ipsi-lesional hippocampus compared to contra-lesional hippocampus.
3
Evaluate the agreement between manual tracing and automated segmentation in estimating hippocampal volumes at 12 months post-stroke.
4
Assess the sensitivity of automated algorithms in detecting longitudinal hippocampal volume change between three and 12 months post-stroke.
More at link.

 

Esteemed Panel of World's Leading Stroke Experts Share Breakthrough Research on Relationship Between Stroke Risk and Vascular Dementia During Press Conference Broadcast via Facebook Live from XXIV World Congress of Neurology, Dubai, UAE, Monday, Oct. 28, 3:15 p.m. GST

You're missing the whole fucking point. WHAT NEEDS TO BE DONE TO PREVENT VASCULAR DEMENTIA POST STROKE?  This shows extreme laziness and NO STROKE LEADERSHIP.  I would have all these stroke 'experts' fired. Once again describing a problem but offering NO useful solution.

Esteemed Panel of World's Leading Stroke Experts Share Breakthrough Research on Relationship Between Stroke Risk and Vascular Dementia During Press Conference Broadcast via Facebook Live from XXIV World Congress of Neurology, Dubai, UAE, Monday, Oct. 28, 3:15 p.m. GST 

News provided by
World Federation of Neurology
Oct 25, 2019, 16:48 ET

DUBAI, United Arab Emirates, Oct. 25, 2019 /PRNewswire/ -- What if by reducing your risk for stroke, you could also reduce the risk of dementia? Breakthrough research suggests that there is a connection. During the XXIV World Congress of Neurology (WCN 2019), join a panel of the world's leading experts on stroke as they discuss this breakthrough research during a live press conference. The press conference will take place at the World Trade Centre in Dubai and will be live-streamed via the World Federation of Neurology Facebook Page (www.facebook.com/wfneurology) on Monday, Oct. 28, 2019, at 3:15 pm. GST.
Global incidence of stroke is increasing at alarming rates, with new risk factors such as climate change and air pollution coming to the forefront. As the global burden of stroke becomes more evident, especially in developing countries, the need for a consistent approach to stroke prevention is more evident than ever.
The elite panel of experts will discuss breaking news in stroke and vascular dementia, including the following key insights:
  • Groundbreaking research revealing that measures of stroke prevention may also work to reduce the risk of dementia
  • Climate change, air pollution and other new risk factors for stroke
  • Challenges of managing stroke and dementia in Africa and developing countries
  • New designation of stroke by the World Health Organization(This occurred 13 years ago, keep up with the program. Incompetence in full display. )
  • All over the world, incidents of dementia are increasing at alarming rates
PRESS CONFERENCE PARTICIPANTS
  • Prof. William Carroll, MB, BS, MD, President of World Federation of Neurology
  • Prof. Michael Brainin MD PhD Dr (hons) FESO FAHA FEAN FWSO, President, World Stroke Organisation
  • Prof. Adesola Ogunniyi, MD
  • Prof. Najeeb Qadi, MD
  • Prof. Vladimir Hachinski, MD
Media are invited to join the WCN 2019 Live Stream at www.facebook.com/wfneurology, and can attend the World Congress of Neurology in person by obtaining complimentary passes upon arrival at the World Trade Centre Dubai.
About the World Federation of NeurologyThe World Federation of Neurology represents 120 member neurological societies around the globe whose mission is to foster quality neurology and brain health worldwide by promoting neurological education and training with an emphasis on under-resourced areas of the world. The WFN supports the spread of accurate research and clinical information in the pursuit of improvements in the field of neurology. With support from member organizations, the WFN unifies the world to give patients better access to brain health.
For more information, please visit www.wfneurology.org. Review all WCN 2019 News on our Virtual Press Office at http://wfneurology.vporoom.com/about. Like us on Facebook at https://www.facebook.com/wfneurology/, and follow us on Twitter at https://twitter.com/wfneurology or by searching using the tag #WCN2019.
Media Contact
Yakkety Yak Contact:

Ashley Logan
Yakkety Yak LLC
press@yakketyyak.com
SOURCE World Federation of Neurology

The use of body weight support on ground level: an alternative strategy for gait training of individuals with stroke

Has your doctor done one damn thing with this in the 10 years since it came out? 

Or maybe she is fluuent in these 26 posts already.

BWSTT (26 posts)

The use of body weight support on ground level: an alternative strategy for gait training of individuals with stroke

Article metrics

  • 8000 Accesses
  • 23 Citations

Abstract

Background

Body weight support (BWS) systems on treadmill have been proposed as a strategy for gait training of subjects with stroke. Considering that ground level is the most common locomotion surface and that there is little information about individuals with stroke walking with BWS on ground level, it is important to investigate the use of BWS on ground level in these individuals as a possible alternative strategy for gait training.

Methods

Thirteen individuals with chronic stroke (four women and nine men; mean age 54.46 years) were videotaped walking on ground level in three experimental conditions: with no harness, with harness bearing full body weight, and with harness bearing 30% of full body weight. Measurements were recorded for mean walking speed, cadence, stride length, stride speed, durations of initial and terminal double stance, single limb support, swing period, and range of motion of ankle, knee, and hip joints; and foot, shank, thigh, and trunk segments.

Results

The use of BWS system leads to changes in stride length and speed, but not in stance and swing period duration. Only the hip joint was influenced by the BWS system in the 30% BWS condition. Shank and thigh segments presented less range of motion in the 30% BWS condition than in the other conditions, and the trunk was held straighter in the 30% BWS condition than in the other conditions.

Conclusion

Individuals with stroke using BWS system on ground level walked slower and with shorter stride length than with no harness. BWS also led to reduction of hip, shank, and thigh range of motion. However, this system did not change walking temporal organization and body side asymmetry of individuals with stroke. On the other hand, the BWS system enabled individuals with chronic stroke to walk safely and without physical assistance. In interventions, the physical therapist can watch and correct gait pattern in patients' performance without the need to provide physical assistance.

Background

Mobility reestablishment is one of the main goals of a rehabilitation program for individuals with stroke [13]. Among the different strategies of gait training for these individuals, the use of treadmill with partial body weight support (BWS) has been a very popular one [4, 5]. The theoretical background of this strategy originated from treadmill gait training in animals with a complete spinal cord injury [6, 7] which established that the treadmill promotes an automatic locomotor pattern, generated by spinal neurons, named the central pattern generator [810].
Usually, the BWS system consists of a treadmill and a mounting frame with an apparatus in which the patient is mechanically supported by a harness while walking on a treadmill [11]. The BWS system unloads body weight symmetrically from the lower limbs as they move forward [5, 12], improves balance control, and avoids falls [9].
Among the possible percentages of body weight unloading allowed by BWS systems, most studies have adopted 30% BWS because of its effectiveness on gait training [1315]. In addition to the appropriate percentage of body weight unloading employed during gait training with BWS, it would be reasonable to evaluate the surface the patient walks on during the intervention as specifically as possible in order to facilitate skill transfer to daily life activities [10, 16]. For example, the requirements for walking on treadmill differ in terms of propulsion and balance control [17] from the requirements for walking overground. In addition, the speed adopted to walk on treadmill is not self-selected as when walking overground [12, 1821].
The differences between walking on treadmill and overground have been examined in healthy adults [18, 2123] and individuals with stroke [12, 19]. The different requirements of treadmill and overground walking influence gait characteristics such as joint angles, temporal-spatial parameters [18, 24, 25], foot contact [20], and muscle activation [12]. Similarly, these differences may also influence the ways these improvements from walking training on the treadmill are transferred to overground walking [10, 21, 25]. To our knowledge, only a few studies have been conducted to examine the use of BWS on ground level [15, 26], and these investigations were limited to a few aspects of walking itself. Considering that ground level is the most common locomotion surface and that there is little information about individuals with stroke walking with BWS on ground level, it is important to investigate the use of BWS on ground level in these individuals as a possible alternative strategy for gait training. Therefore, the purpose of this study was to investigate individuals with chronic stroke, walking overground with BWS. More specifically, we analyzed the spatial-temporal parameters and patterns and range of motion of joint and segmental angles during ground level walking at self-selected and comfortable speeds, with and without the use of BWS, for individuals with chronic stroke. We suggest that individuals with stroke walking with BWS on ground level would show a more stable and symmetrical walking pattern.

Methods

Participants

Twenty-five individuals with chronic stroke from a waiting list for the university physical therapy clinic were contacted by phone and invited to take part in the study. Seventeen of these individuals agreed to be evaluated in the laboratory. After the initial evaluation, which consisted of personal data registration and physical examination (evaluation of the level of spasticity and functional gait capacity), thirteen individuals (four women and nine men), mean age, 54.46 (± 8.58) years and at intervals longer than one year since last stroke, were eligible to participate in the study. Six individuals had right-side and seven had left-side hemiparesis of either ischemic (n = 11) or hemorrhagic (n = 2) origin.
Inclusion criteria were: elapsed time since stroke longer than one year; ability to walk approximately 10 m with or without assistance; and spasticity classified under level 3 by the Modified Ashworth Scale (for more detail, see Lindquist et al. [13]). Participants were excluded if they did not present spasticity (n = 1) or did present clinical signs of heart failure (New York Heart Association), arrhythmia, or angina pectoris; orthopedic (n = 2) or other neurological diseases (n = 1) that compromised gait; or severe cognitive or communication impairments. The University ethics committee approved this study and all individuals signed an informed consent agreement.

Task and procedures

Participants were assessed walking at a self-selected comfortable speed along a 10 m walkway in three different conditions: walking freely with or without assistance ("no harness" condition); walking with harness and full body weight bearing ("0% BWS" condition); and walking with harness and 30% of full body weight unloaded ("30% BWS" condition). Before the evaluation in each condition, all participants practiced for a few trials until they felt comfortable with the experimental conditions. Then, six trials in each condition were videotaped by four digital cameras (Panasonic, AG-DVC7P) at 60 Hz that were positioned bilaterally in order to allow simultaneous kinematic measurement of nonparetic and paretic limbs in either direction of motion (from left to right and vice-versa). In addition, one calibration trial for each experimental condition was videotaped wherein participants stood upright on the center of the walkway facing both directions for a few seconds to register the neutral position data of the joints and segments for further normalization of the joint and segmental angles.
During the trials using the BWS system, participants were mechanically supported in a harness with adjustable belts and padded straps for the thighs, similar to the one used by Norman et al. [17], which was attached to a horizontal bar. A steel cable from an electric motor pulled the horizontal bar upward and slid it through an upper rail as the participants walked. A load cell connected the horizontal bar to the cable and measured the amount of weight borne by the BWS system, which was shown on a digital display. In order to support the weight, participants stayed still until the motor was activated by the experimenter, who lengthened or shortened the cable to bear the desired amount of body weight. Figure 1 illustrates the BWS system used in the present study.

Figure 1
figure1
Partial view of the body weight support system used in the study. The rail that the electric motor slides along, the load cell, and one of the experimenters wearing the harness are shown.
Passive reflective markers were placed on the nonparetic and paretic sides of the body at the following anatomical locations: head of the fifth metatarsal, lateral malleolus, lateral epicondyle of the femur, greater trochanter, and acromion, in order to define the foot, shank, thigh, and trunk segments, respectively. The digitalization and the reconstruction of all markers were performed using Ariel Performance Analysis System - APAS (Ariel Dynamics, Inc.) software, and filtering and posterior analyses were performed using Matlab software (MathWorks, Inc. - Version 6.5). Reconstruction of the real coordinates was performed using the direct linear transformation (DLT) procedure.

Data analysis

One intermediate stride per trial by each participant, for a total of three selected trials for each condition, was analyzed. The trial selection was determined by the best visualization of the markers and walking performance in an uninterrupted trial. Through visual inspection, a stride (walking cycle) was defined by two consecutive initial contacts of the same limb to the ground along the progression line. In addition, walking events during a stride were identified for subsequent calculation of walking temporal organization (initial and terminal double stance, single limb support, and swing period [27]). This procedure was carried out for both nonparetic and paretic sides of the body
All the data were digitally filtered using a 4th order and zero-lag Butterworth filter and all markers were low-pass filtered at 8 Hz. For joint and segmental angles, strides were normalized in time from 0 to 100%, with a 1% step. These cycles were referenced to the participants' neutral angles measured during the calibration trial in each condition and were then averaged to obtain the mean cycle for each participant. The same procedure was repeated to obtain the mean cycle among participants.
The following variables were examined: mean walking speed, calculated as the ratio between the distance traveled and its duration (determined by the position of the greater trochanter marker, which is closer to the center of body mass); stride length, the distance between two successive initial contacts of each foot to the ground (determined by the position of the lateral malleolus marker); stride speed, calculated as the ratio between stride length and duration; durations of total double stance and single limb support; ankle, knee, and hip joint range of motion, calculated from the difference between the maximum and minimum angles of these joints during each stride cycle; and foot, shank, thigh, and trunk segment range of motion, calculated from the difference between the maximum and minimum angles of these segments during each stride cycle. The movements of the segments were counter-clockwise (backward) and clockwise (forward) rotations around the medial-lateral axis on the sagittal plane, which denoted positive and negative values, respectively [28]. For example, a counter-clockwise rotation of the trunk means trunk extension from neutral position and a clockwise rotation means trunk flexion from neutral position.

Statistical analysis

For all variables, data from three trials under each condition were averaged for each participant. A one-way analysis of variance (ANOVA) was conducted, using the three experimental conditions (no harness, 0% BWS, 30% BWS) as factors. Four multivariate analyses of variance (MANOVAs) were employed, using body side (nonparetic and paretic) and the three experimental conditions as factors. The dependent variables were mean walking speed for the ANOVA, cadence, stride length, and stride speed for the first MANOVA; durations of initial double stance, single limb support, terminal double stance, and swing period for the second MANOVA; ankle, knee, and hip joint range of motion for the third MANOVA; and foot, shank, thigh, and trunk segmental range of motion for the fourth MANOVA. When applicable, univariate analyses and Tukey post hoc tests were employed. An alpha level of 0.05 was adopted for all statistical tests, which were performed using SPSS software (Version 10.0).

Results

All participants performed the requested tasks. None used assistive devices during walking performance; however, three participants needed assistance from a physical therapist that hold one of their hands, in order to support balance when walking with no harness. The results for walking spatial-temporal parameters and for joint and segmental pattern and range of motion follow.

Temporal-spatial gait parameters

Table 1 depicts mean and standard deviation (± SD) of the walking cycle temporal-spatial parameters. Walking speed was different among conditions, F(2,24) = 5.56, p = 0.02, in which it was lower in the 30% BWS than in the no harness condition. MANOVA revealed condition significance, Wilks' Lambda = 0.54, F(6,44) = 2.65, p = 0.003, and condition and body side interaction, Wilks' Lambda = 0.37, F(6,44) = 4.68, p = 0.001. Univariate analyses indicated condition effect and condition and body side interaction for stride length, F(2,24) = 8.39, p = 0.007, F(2,24) = 12.41, p < 0.001, and stride speed, F(2,24) = 4.96, p = 0.029, F(2,24) = 16.31, p p < 0.001, respectively. Stride length was shorter and stride speed was lower in the 30% BWS than in the no harness and 0% BWS conditions, and in the 0% BWS than in the no harness condition. The paretic side displayed longer stride length and faster stride speed than the nonparetic side only in the 30% BWS condition (Table 1).

Table 1 Temporal-spatial parameters of walking during the stride cycle.
Regarding temporal measures, MANOVA only revealed significant body side effect, Wilks' Lambda = 0.14, F(4,9) = 13.71, p = 0.001. Univariate analyses indicated that the nonparetic side displayed longer single limb support, F(1,12) = 53.36, p p < 0.001, and shorter swing period duration, F(1,12) = 65.88, p p < 0.001, than the paretic side of the body (Table 1).

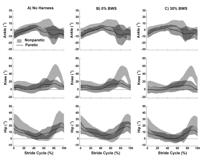
Joint and segmental angles

Figure 2 shows the mean (± SD) stride cycle of ankle, knee, and hip angle patterns in the three conditions (no harness, 0% BWS, and 30% BWS) for paretic and nonparetic sides of the body. Qualitatively, the joints of either side have a similar pattern amongst conditions. However, joint angles between sides presented a remarkably different pattern.

Figure 2
figure2
Ankle, knee, and hip joint angles during the stride cycle. Mean (± SD) stride cycle of ankle, knee, and hip joint angles for the individuals with chronic stroke walking with no harness (A), with 0% BWS (B), and 30% BWS (C) on nonparetic (gray area) and paretic (line) body sides. Positive values denote ankle dorsiflexion, knee and hip flexion, and negative values denote ankle plantar flexion, knee and hip extension (n = 13).
The ankle joint of the paretic side showed plantar flexion during most of the gait cycle, and little dorsiflexion during middle stance (approximately 40% of the cycle) in the three conditions (Figure 2, upper panel). On the other hand, the ankle of nonparetic side showed marked dorsiflexion later in the cycle. The knee joint (Figure 2, middle panel) showed little flexion on the paretic side considering that this joint on the nonparetic side presented a much larger flexion at swing period (approximately 85% of gait cycle) in the three conditions. Finally, the hip joint (Figure 2, bottom panel) showed a flexor pattern with little extension during the entire cycle for both sides. However, the hip on the nonparetic side showed greater flexion than the hip on the paretic side in the three conditions.
Table 2 depicts mean (± SD) joint range of motion during the walking cycle. MANOVA revealed joint range of motion had significant difference for conditions, Wilks' Lambda = 0.52, F(6,44) = 2.87, p = 0.02, body side, Wilks' Lambda = 0.09, F(3,10) = 33.73, p p < 0.001, and condition and body side interaction tendency, Wilks' Lambda = 0.58, F(6,44) = 2.28, p = 0.053. The hip joint was influenced by condition, F(2,24) = 10.49, p = 0.004, with a greater range of motion in the no harness condition than in the 30% BWS condition and a greater range of motion in the 0% BWS than in the 30% BWS condition. Range of motion was greater on the nonparetic side for the ankle, F(1,12) = 21.98, p = 0.001, knee, F(1,12) = 41.91, p p < 0.001, and hip, F(1,12) = 102.97, p p < 0.001, than in the paretic side (Table 2).

Table 2 Joint and segmental range of motion during the stride cycle.
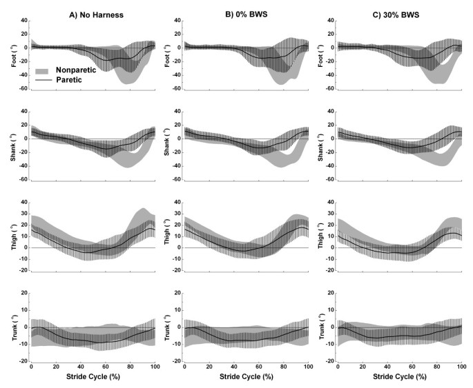
Figure 3 shows the mean (± SD) stride cycle of foot, thigh, shank, and trunk angle patterns in the three conditions for paretic and nonparetic sides of the body. Most of segmental angles displayed similar pattern in the three conditions, however, there were some different patterns between sides.

Figure 3
figure3
Foot, shank, thigh, and trunk segmental angles during the stride cycle. Mean (± SD) stride cycle of foot, shank, thigh, and trunk segmental angles for the individuals with chronic stroke walking with no harness (A), with 0% BWS (B), and 30% BWS (C) on nonparetic (gray area) and paretic (line) body sides. Positive values denote counter-clockwise (backward) rotation of segments and negative values denote clockwise (forward) rotation of segments (n = 13).
The foot remained close to neutral position during most of the stance period on both sides. The foot on the nonparetic side presented greater clockwise rotation and later than the foot on the paretic side in all conditions (Figure 3, upper panel). The same pattern was observed for shank. The thigh was the only segment that presented a similar pattern between nonparetic and paretic sides during most of the gait cycle. The thigh on the nonparetic side showed a more counter-clockwise rotation than the thigh on the paretic side (Figure 3, middle panel), except at the end of the swing period. Finally, the trunk presented an opposite orientation between nonparetic and paretic sides and was close to neutral position with 30% BWS (Figure 3, bottom panel).
Table 2 also displays mean (± SD) segmental range of motion during the walking cycle. MANOVA revealed segmental range of motion significant difference for condition, Wilks' Lambda = 0.35, F(8,42) = 3.67, p = 0.003, body side, Wilks' Lambda = 0.13, F(4,9) = 14.85, p = 0.001, and condition and body side interaction, Wilks' Lambda = 0.24, F(8,42) = 5.54, p p < 0.001. Condition influenced thigh range of motion, F(2,24) = 17.08, p = 0.001, with greater range of motion in the no harness than in the 0% and 30% BWS conditions and greater range of motion in the 0% BWS than in the 30% BWS condition. Body side influenced foot, F(1,12) = 35.77, p p < 0.001, and thigh, F(1,12) = 22.34, p p < 0.001, range of motion with both segments showing a greater range of motion on the nonparetic than on the paretic side. Finally, condition and body side interaction was observed for the shank, F(2,24) = 20.40, p p < 0.001, and trunk, F(2,24) = 8.08, p = 0.007, range of motion. Shank range of motion was decreased throughout the no harness, 0% BWS, and 30% BWS conditions on both sides, but with a greater decrease on the nonparetic than on the paretic side. Trunk range of motion was decreased throughout the no harness, 0% BWS, and 30% BWS conditions only on the paretic side and presented a smaller range of motion on the nonparetic side in the no harness and 0% BWS conditions than on the paretic side (Table 2).

Discussion

This study investigated spatial-temporal gait parameters, and joint and segmental angles of individuals with chronic stroke walking at self-selected comfortable speed on ground level with and without BWS. The results revealed that the use of BWS system leads to changes in stride length and stride speed of individuals with chronic stroke, but not on stance and swing period duration. Regarding the joint range of motion, the hip was the only joint that was influenced by the BWS system with the paretic side presenting less hip joint range of motion during walking in the 30% BWS condition than in the no harness condition, and the nonparetic side presenting less hip joint range of motion in the 30% BWS than in the no harness and 0% BWS conditions. Finally, regarding the segmental range of motion, shank and thigh segments presented less range of motion in the 30% BWS condition than in the other conditions and less range of motion in the 0% BWS condition than in the no harness condition. The trunk on the paretic side presented less range of motion in the 30% condition than in the other conditions and difference between paretic and nonparetic sides was only observed in the 30% BWS condition. These results did not support our initial suggestion that an individual with stroke walking with BWS on ground level would present a more stable and symmetrical gait pattern.
At first glance, it seems that individuals with chronic stroke had more difficulty walking with BWS on ground level than without it. However, one of the most important issues regarding this study is that the BWS system enabled these individuals to perform the task on a surface that is used in daily life activities and none required assistance to keep their balance because the BWS system enabled them to walk by themselves safely. In interventions, the BWS provides physical support instead of the physical therapist, who can then focus attention on the patient's walking performance. For example, the physical therapist can focus on increased walking speed and its influence on spatial-temporal parameters and joint patterns [9] in the patient and correct gait pattern to favor a more symmetrical gait [10, 29]. The BWS system also provided steadiness during the single limb support on the paretic side which led to a greater joint range of motion during stepping. These results are quite encouraging for gait training using BWS on ground level on a long-term basis.
Another positive aspect of walking with BWS on ground level is the better vertical alignment of the trunk throughout gait cycle (Figure 3, bottom panel). We had investigated the trunk segment from both sides of the body in the sagital plane of motion because of the posture that individuals with stroke usually adopt for walking. This segment presented different ranges of motion between nonparetic and paretic sides, which means that the individuals rotated the trunk (longitudinal axis of motion) towards the opposite side, which presented the largest range of motion. In the 30% BWS condition, the trunk was close to neutral position (i.e. erect) and did not present any difference between nonparetic and paretic sides for range of motion. Trunk positioning is a critical aspect of gait pattern, as its alignment is related to functional performance [30], and it might contribute to a decreased mechanical energy cost [31]. Therefore, BWS on ground level contributes to aligning the trunk and provides advantages during gait performance.
Contrary to previous investigation of walking with BWS on ground level [15], the participants in this study walked slower in the 30% BWS than in the no harness condition. This difference might be attributed to the different procedures adopted in each case. While Lamontagne and Fung [15] investigated individuals with acute stroke and classified them according to their walking speed as either low or high functioning individuals, we evaluated individuals with chronic stroke and did not classify them according to their preferred walking speed. Also, we did not encourage our patients to speed up along the pathway, as Lamontagne and Fung [15] did and also had evaluated their participants with stroke walking at preferred walking and maximal walking speed.
Slow walking speed in the 30% BWS condition would be due to decreased posterior muscle energy generation by the lower limb at the end of terminal double stance. This aspect has been described as fundamental to propel the limb forward to control the walking speed [32]. We had adopted 30% BWS for this study as it has been the most common percentage of body weight support used during gait training with BWS on treadmill and it was the percentage used in the previous study on ground level [15]. However, it seems that this percentage for walking with BWS on ground level might not be as appropriate as it is for walking with BWS on treadmill, because it may prevent ground reaction force generation and, consequently, the impulse to move the limb forward. In this way, future studies using BWS on ground level in individuals with chronic stroke should investigate a more appropriate percentage of body weight support for this type of surface. Further, BWS systems that can be modulated dynamically according to the gait phase have been proposed for treadmill [33] and should also be considered for ground level.
An unexpected finding was a longer stride length on the paretic side than on the nonparetic side in the 30% BWS condition. Any human walking on a straight line should present the same stride length on both sides [34], but this was not the case in the present study. One possible explanation for this finding could be that individuals with chronic stroke took advantage of the body weight support on the single limb of the nonparetic side to generate a longer and quicker step with the paretic limb.
Our results, as in the previous investigation [15], also showed that BWS itself did not change gait asymmetry between nonparetic and paretic sides among the experimental conditions, which is a prominent characteristic of hemiparetic gait [35, 36]. However, it is possible that side asymmetry might decrease only after a gait training period with BWS on ground level, although this hypothesis still needs to be further investigated.
Last but not least, the 0% BWS did not influence the mean walking speed, temporal symmetry, ankle, knee, foot, and trunk ranges of motion. Although the harness was employed mainly to help with balance, it also contributed to shortening the stride length, lowering stride speed, and reducing hip, shank, and thigh range of motion when compared to the no harness condition. These reductions were lower in the 0% BWS condition than in the 30% BWS condition. Thus, the use of harness itself was already enough to change the gait pattern of individuals with stroke. This result might be due to the BWS system adopted in this study because it required the individuals to move the motor along the rail and to a lack of sufficient adaptation to this walking requirement before taking part in the study. In future studies, use of a BWS system for ground level in which the motor is moved along the rail by a specific controller rather than by the participant wearing the harness, should be considered. Actually, we are currently working on the system in order to implement such a condition.
To our knowledge, this was the first study that considered a more detailed description of walking with BWS on ground level in individuals with stroke and it presented some limitations. First, a full understanding of gait requires more analyses than just the kinematic approach, such as kinetic and electromyographyc analyses. Second, the need to move the motor through the rail by the participants creates a drag force as they walked and this can influence walking performance and pattern. Third, only the 0% and 30% of BWS were analyzed and participants might take advantage of other percentages of body weight unloading especially due to the difficulty in force production to move forward in the 30% of BWS condition. Finally, the adaptation period provided to the participants might have not been long enough and this could have masked some of the effects of BWS use. Despite all these limitations, the use of BWS system overground seems to be a useful and important strategy as a tool to provide an alternative intervention and rehabilitation program for individuals with stroke.

Conclusion

Individuals with stroke using BWS system on ground level walked slower and with shorter stride length and slower stride speed, respectively, than with no harness. BWS also led to a reduction in hip, shank, and thigh range of motion. However, this system did not change walking temporal organization and the body side asymmetry of individuals with stroke. The differences found in this study might be attributed to the adjustments the individuals had to make to walk with an unloading condition on the lower limb, and to the brief period of adaptation to the BWS system, as the use of the harness without support of body weight (0% BWS condition) per se leads to some alterations during the task performance.
Although the use of BWS system on ground level changed some gait parameters, this system enabled individuals with chronic stroke to walk safely and without physical assistance. In interventions, the physical therapist can focus on watching and correcting the individual's gait pattern during performance instead of providing physical assistance.